近年來,應室內外的裝飾裝修的能求,大理石、花崗石圓柱弧板開始進入市場,并在裝飾裝修工程中暫露頭角。
由于它在圓柱的裝修中遠遠優于窄條 平板的拼裝效果,并且采用天然大理石、花崗石圓弧 .板,和鋁板、不銹鋼板裝飾裝修相比、具有返樸歸 真、回歸自然的特色,故其在今后相當長的-段時間 里,會深受歡迎,有較好的市場前景。
但是,對這種 異型圈弧柱面的加工,有其自身的特點?,F就我廠采 用鋸筒加工圈弧板過程遇到的一些問題,作一簡單的 總結和討論。
一、圓弧板的生產工藝過程即將荒料加工成為合乎建筑要求的、具有一定光澤度的圓弧板,需完成下列各道工序:
1,荒料整形。
這是圓柱形圓弧板加工的第-道工序,既要考慮后面各道工序中設備加工的要求,又應滿足工藝過程中必要的加工余量?;牧险斡蓤@盤大切機來完成。
2.切割圓弧毛板。
切割圓弧毛板。應用專門的圓弧毛板切割機切割?,F在使用的切割機有帶鋸切割機,鋼繩串珠切割機,鋸筒專用切割機。鋸筒圓弧毛板切割機,是結構和操作比較簡單的設備、但其靈活性較差。
設備價格雖然較低,但配備足夠數量的鋸筒要花費可觀的資金,同樣也會增加投資資金數額但綜合比較鋸筒切割圓弧板仍具有投資低,維護費用也較低的特點。
這就決定它在圈柱張板加工中相當一段時間內不致于被淘汰。鋸筒加工切割圈弧柱面板有二個方案,其一是同心圓法,其二是等弧瓦片式切割去,如圖1所示,本文介紹的是后一種方式。
3,圓弧毛板的切削拋光。
加工中不但要使板面達到一定的光度,而且還 應控制孤板幾個有關的規格尺寸。如曲率半徑,每塊 弧板的弧長(或弦長)以及弧板的厚度和高度。
只要其中一個參數不合要求,就會導致產品報廢。這就要 求圓弧板切削拋磨的操作工人工作責任感和操作技術 水平都要比平板拋磨工高得多。
圓孤板的拋磨由專用的預板拋磨機來完成;調整好拋磨余量,用*300- 400mm的專用刀片切削,按略大于成品板的弧度校正外圈,再用金剛砂磨頭和不同標號的石材專用磨具進行粗磨、細磨和拋光,使它的孤度和成品板要求一致并具有一定光澤度。
然 后,用切削的刀片在弧板兩端切出兩條- 定深度的刀 縫,使兩刀縫網的有效長度和成品板高度要求一致。因切削拋光時只固定弧板兩端頭,所以在切這兩條刀 縫時不能將板材完全切斯,以避免弧板脫落而造成事 故。
成品弧板和夾制端頭的分離工作是將弧板從設備 上卸下來后進行或在施工現場進行。
4.圓弧板的合縫。
在生產工序中又叫縫合。是將上道工序卸下的毛 光弧板的兩條直邊。在專用設備上進行毛邊切除,使 其為相互平行的兩條直線。一方面使弧板的弧長滿足 公差要求,另一方面是使弧板半徑和弦的夾角(稱縫 合角〉a≤(180'-的) /2, ,才能確保工程安裝時每兩塊相鄰板材間不出現縫隙。合縫工作由專用縫合機來 完成。到此為止,圓弧板的加工結束,進行必要的修 補后,可包裝或發運。
遙弧板加工和平面板材加工相比較,有更嚴格的 質量要求。上道工序不合格品,絕對不能流入下道工序。二者不同之處還在于它無法回收小規格板、所以 原料利用相對低得多。
二、圓弧板加工中的規格控制。
在圓弧板加工的各道工序中,需要對弧板的規格 嚴格控制,首先是荒料規格的控制,可以從下面幾個方面考慮。
1、荒料的高度。這里所指的高度,是石料放入水箱后上下平面的 間隨,也就是平行鋸簡中軸線的長度尺寸?;牧系母?度,應符合圓弧成品板上下兩條弧線之間直線距離 (即弧板層高)的要求。它的數學關系式可表示如下:

在加工過程中,因設備升降螺桿的長度和鋸筒內高度(800mm)的限制,一般要求成品板的高度h≤ 720mm。
2、荒料的寬度要求。
荒料的寬度,是指加工過程中和水箱移動方向垂 直的有效尺寸。必須保證成品弧板有足夠的弦長。它應滿足如下要求:

在加工訂貨中,一般只提供圓弧板直徑,每塊板 的圓心角(一圈的拼數確定)或每塊弧板的橫斷面弧長。所以弦長應通過計算來確定。根據平面數學關系,可用下面方法求得:

2.根據圓心角求弦長。

3.荒料的長度要求。
荒料長度,不受成品弧板規格的限制?;牧祥L度長,可以提高出產毛板率,減少輔助時間。但它卻受到冷卻水箱走向長度的限制。一般應補足以下條件:

荒料較長時,每移動一定距離后,就應提起鋸筒取出毛板后再進行第二組切制,否則將造成部分毛板報廢。每次能移動的距離應符合下式要求:

三、鋸筒加工四弧板的毛板厚度。
在大理石、花崗石平板加工中,毛板的厚度是決?定光板厚度的重要參數。在鋸筒加工圓弧板中,圓弧毛板的摩度顯得更為重要。并且,這個參數和平板加工及其它方式加工圓弧板相比要復雜得多,必須通過嚴格的計算才能確保有較低的成本和較高的合格品率,圓弧毛板的厚度,可按下列兩種情況進行計算:

在采用和成品板直徑(Φ)相應內徑(或外徑)的鋸筒切割圓弧毛板時,由于鋸筒內外徑的差異,成品板某些部位也會出現加厚的情況,毛板也應相應加厚。這一點是不容忽視的。
四、鋸簣加工的圓弧光板厚度。
成品圓弧板的摩度,總希望在每個垂直圓柱軸線的圓弧斷面上各處相等。但在用鋸筒加工的生產實際中往往不盡人意。它的厚度差異受到弧板曲率半徑和鋸筒半徑差異值的影響。
而且當每塊弧板的弧度越大時,其差值也越大。根據幾何關系,圓弧板最厚部分的增厚值(△)可用數學式表示:

此時的圓弧板材中間加厚,成品弧板的橫斷面如圖1中的粗實線包圍的部分。理論的切削部分為圖中的A'AC及BB'C兩個部分。其切削工作量仍然不算太大。

值也可減小。所以在生產實際中,若生產每塊弧板的 弧度為π/8 (即16拼圓弧)時,可以采用一定厚度的平板加工,仍然會使荒料消耗減少,成本下降。但是使用圓弧磨機拋磨加工和合縫機合縫效率較低,而且安裝難度也加大,一般在客戶有持殊要求時制作。

這時采用的平面板材的最小厚度:


它是幾何意義是以(R+δ)為半徑、長為L的弧向圓心內移、圓弧板材中間變薄,邊緣加厚。這種情況成品弧板的橫斷面如圖3中粗實線包圍的部分。

邊緣加磨尺寸的計算,是一個比較復雜的數學式,應用起來比較麻煩。在生產實踐中,可按以下數學式取值作參考,以便和訂貨要求作比較:

這種弧板的最大厚度:

當R=R+δ時,△'=0,弧板邊緣不增厚,△'與 每塊板的張度數無關,系理論的理想狀態。但是, 在生產過程中,必須由一個鋸筒切割內外兩個弧面以便加工,這就限制了θ角的加大。限制條件是:

當弧板的弦長L=2R2時,弧邊兩邊緣出現尖的情況。因此,為保證安裝一圈圓柱的每塊弧板的尺 寸相等,一般可取θ= 120"。
這一類型弧板加工的刀削拋磨部分主要在弧板的中部,切削量為圖3中的ACBC。切削量相對較大。
五、鋸筒直徑的選擇。
鋸筒直徑的選擇,對于控制荒料消耗有著重要的意義。就拋磨加工而言,要求切削量較小以減少刀磨具及 工時的消耗?,F就對不同要求的鋸筒直徑進行討論。
1、當要求切削量最小時的鋸筒直徑。如果要求切削工作量最小,則鋸筒的內徑應和成 品弧板的外徑相等。

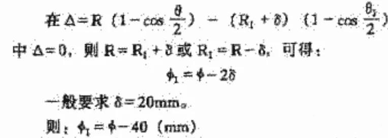
2、當要求成品弧板各處基本等厚時的鋸筒直徑。要求弧板各處厚度基本相等,就要求△=0

這種情況在加工毛弧板時,.中間加厚,切削部位類似于A<0的情況。從建筑安裝的角度和運輸中的重量著眼,△=0是極理想的弧板標準。但鋸筒本身有固定的尺寸,無法節,這就要求為適應建筑方面的需求,必須每種弧板規格配備相應規格的鋸筒。
必然造成鋸筒投資資金的增大。同時,對于一個圓弧板加工廠而言,每批同徑弧板訂貨的毛板都由一個鋸筒來完成,不可能同時間內使用多個鋸筒。這樣,一批鋸筒的使用周期就顯得相當長,大量配套鑭筒就很不合算。
3、減少鋸筒初期投資的鋸筒配備。
這條減少鋸筒配備的思路是采用-一個鋸筒,可以加工相近兩個標準規格以上的圓弧板,這樣鋸筒的配備數量至少可以減少一半,

將φ和φ的數據怍比較,不難看出這兩個鋸筒 外徑的數據非常接近。根據這提示,我們在生產實際中,可以采用θ= 100n+ 45 (mm)的鋸筒外徑: 這樣的鋸筒、即可以加工φ≠100n (mm)直徑的圓柱孤扳,也可加工φ≈100 (o手1) mm的柱弧板。這樣不但板材增厚值不致于太大,拋磨的切削工作也 出不致于增加得太多。當然,對于加工≈100n+ 10 (mim) ~ 100n+.90 (mm)的圓弧柱板,也同樣可以適用。
上面三種鋸規格的配備方案,各有其適應范 圍。但綜合考慮,應以φ=100n+ 45. (mm)的配備 比較靈活。
圜弧柱板的加工,應從弧板的直徑、毛荒料的層 厚、采的鋸筒直徑等條件綜合考慮,選擇合適的圓 弧拼數。只有這樣,才會有較低的成本和較高的成品 合格率。
客服熱線:











